網際網路是如何工作的?
本文討論了網際網路是什麼以及它是如何工作的。
| 預備知識 | 無,但我們鼓勵您先閱讀關於設定專案目標的文章。 |
|---|---|
| 目標 | 您將瞭解 Web 技術基礎設施的基礎知識,以及 Internet 和 Web 之間的區別。 |
總結
網際網路是 Web 的支柱,是使 Web 成為可能的技術基礎設施。最基本地說,網際網路是一個大型計算機網路,它們相互通訊。
網際網路的歷史有些模糊。它始於 20 世紀 60 年代,是一個由美國軍方資助的研究專案,然後隨著許多公立大學和私營公司的支援,在 20 世紀 80 年代發展成為公共基礎設施。支援網際網路的各種技術隨著時間的推移而不斷發展,但它的工作方式並沒有改變太多:網際網路是一種將計算機相互連線並將它們連線起來的方式,並確保無論發生什麼,它們都能找到保持連線的方法。
關於網際網路的影片
- 網際網路是如何在 5 分鐘內工作的:Aaron Titus 製作的 5 分鐘影片,幫助您瞭解網際網路的基礎知識。
- 網際網路是如何工作的?:詳細且視覺化效果良好的 9 分鐘影片。
深入探討
一個簡單的網路
當兩臺計算機需要通訊時,您必須將它們連線起來,無論是物理連線(通常使用 乙太網電纜)還是無線連線(例如使用 Wi-Fi 或 藍牙 系統)。所有現代計算機都可以支援任何一種連線。
注意:在本文的其餘部分,我們將只討論物理電纜,但無線網路的工作方式相同。

這樣的網路不僅限於兩臺計算機。您可以連線任意數量的計算機。但這會迅速變得複雜。如果您嘗試連線,比如說,十臺計算機,您需要 45 根電纜,每臺計算機需要九個介面!

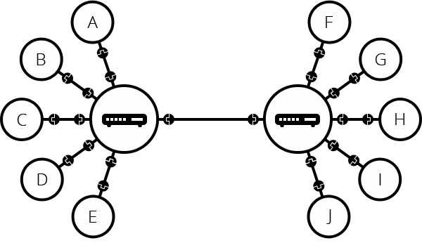
為了解決這個問題,網路中的每臺計算機都連線到一個名為“網路交換機”(或簡稱“交換機”)的特殊小型計算機。這個交換機只有一個工作:就像火車站的訊號員一樣,它確保來自給定計算機的訊息僅到達目標計算機。要將訊息傳送到計算機 B,計算機 A 將訊息傳送到交換機,交換機再將其轉發到計算機 B — 計算機 B 不會收到傳送給其他計算機的訊息,傳送給計算機 B 的訊息也不會到達本地網路上的其他計算機。
一旦我們在系統中添加了交換機,我們由 10 臺計算機組成的網路就只需要 10 根電纜:每臺計算機一個介面,以及一個帶有 10 個介面的交換機。

互聯互通的網路
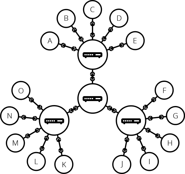
到目前為止還不錯。但是連線數百萬、數千、數十億臺計算機呢?一個交換機當然無法擴充套件到如此程度,但是,如果您仔細閱讀,我們會說交換機和其他計算機一樣,那麼有什麼可以阻止我們將兩個交換機連線在一起呢?沒什麼,那就這麼做吧。

您可以想象我們可以無限連線交換機,形成像這樣的網路

實際上,這會導致許多工程問題。一個數據包需要經過的交換機越多,到達目的地所需的時間就越長。而且您不能只有一個交換機樹,因為這樣一來,單個交換機的故障可能會斷開大部分裝置的連線。為了解決這個問題,我們將每個本地網路保持得儘可能小,然後使用一個名為路由器的獨立裝置將這些本地網路連線起來。路由器是一臺計算機,它知道如何在網路之間轉發訊息。路由器就像一個郵局:當一個數據包到達時,它會讀取收件人地址,並將資料包直接轉發給正確的收件人,而無需經過多層中繼。
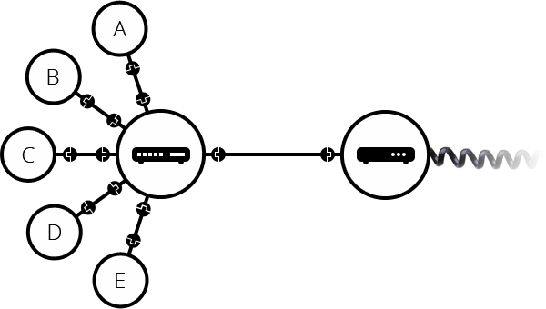
這樣的網路非常接近我們所說的網際網路。我們只需要物理介質(電纜)來連線所有這些路由器。幸運的是,這種基礎設施在網際網路出現之前就已經存在了,那就是電話網路。為了將我們的網路連線到電話基礎設施,我們需要一種稱為調變解調器的特殊裝置。這個調變解調器將我們網路中的資訊轉換為電話基礎設施可管理的資訊,反之亦然。

請注意,您家中的商用路由器很可能是一個集交換機、路由器和調變解調器於一體的裝置。
因此,我們連線到了電話基礎設施。下一步是傳送我們網路中的訊息到我們想要到達的網路。為此,我們將我們的網路連線到網際網路服務提供商(ISP)。ISP 是一家公司,它管理一些特殊的路由器,這些路由器相互連線,並且還可以訪問其他 ISP 的路由器。因此,我們網路中的訊息透過 ISP 網路網路傳輸到目標網路。網際網路就由這個完整的網路基礎設施組成。

查詢計算機
如果您想傳送訊息給一臺計算機,您必須指定是哪一臺。因此,連線到網路的所有計算機都有一個標識它的唯一地址,稱為“IP 地址”(IP 是 Internet Protocol 的縮寫)。它是一個由四個數字組成的地址,用點分隔,例如:192.0.2.172。
這對計算機來說很好,但我們人類很難記住這種地址。為了方便起見,我們可以將 IP 地址別名為一個人類可讀的名稱,稱為域名。例如(截至撰寫本文時;IP 地址可能會更改)google.com 是用於 IP 地址 142.250.190.78 的域名。因此,使用域名是我們透過網際網路訪問計算機的最簡單方式。

網際網路和 Web
您可能會注意到,當我們在 Web 瀏覽器中瀏覽 Web 時,我們通常使用域名來訪問網站。這是否意味著網際網路和 Web 是同一件事?事實並非如此簡單。正如我們所見,網際網路是一個技術基礎設施,它使數十億臺計算機能夠相互連線。在這些計算機中,一些計算機(稱為Web 伺服器)可以傳送 Web 瀏覽器可以理解的訊息。網際網路是一個基礎設施,而Web 是建立在基礎設施之上的服務。值得注意的是,網際網路之上還建立了許多其他服務,例如電子郵件和IRC。
內聯網和外聯網
內聯網是私有網路,僅限於特定組織的成員。它們通常用作成員安全訪問共享資源、協作和通訊的門戶。例如,組織的內聯網可能託管用於共享部門或團隊資訊的網頁,用於管理關鍵文件和檔案的共享驅動器,用於執行業務管理任務的門戶,以及用於維基、討論區和訊息系統的協作工具。
外聯網與內聯網非常相似,不同之處在於它們開放全部或部分私有網路,允許與其他組織共享和協作。它們通常用於安全地與密切合作的客戶和利益相關者共享資訊。它們的許多功能與內聯網提供的功能類似:資訊和檔案共享、協作工具、討論區等。
內聯網和外聯網都執行在與網際網路相同的 प्रकारचे基礎設施上,並使用相同的協議。因此,授權成員可以從不同的物理位置訪問它們。
