網際網路是如何工作的?

本文討論了網際網路是什麼以及它是如何工作的。

先決條件 無,但我們建議您先閱讀關於設定專案目標的文章
目標 您將學習 Web 技術基礎設施的基礎知識以及網際網路和 Web 之間的區別。

摘要

網際網路是 Web 的支柱,是使 Web 成為可能的技術基礎設施。從最基本的層面上講,網際網路是一個大型的計算機網路,它們彼此通訊。

網際網路的歷史有些模糊。它始於 20 世紀 60 年代,當時它是一個由美國軍隊資助的研究專案,然後在 20 世紀 80 年代在許多公立大學和私營公司的支援下發展成為一個公共基礎設施。支援網際網路的各種技術隨著時間的推移而發展,但其工作方式並沒有發生太大變化:網際網路是一種將計算機連線在一起並確保無論發生什麼,它們都能找到保持連線的方法。

主動學習

深入探討

簡單的網路

當兩臺計算機需要通訊時,您必須將它們連線起來,可以透過物理連線(通常使用乙太網線)或無線連線(例如使用Wi-Fi藍牙系統)。所有現代計算機都可以維持任何一種連線。

注意:在本篇文章的其餘部分,我們將僅討論物理電纜,但無線網路的工作原理相同。

Two computers linked together

這樣的網路不限於兩臺計算機。您可以根據需要連線任意數量的計算機。但這很快就會變得複雜。如果您嘗試連線例如 10 臺計算機,則需要 45 條電纜,每臺計算機 9 個插頭!

Ten computers all together

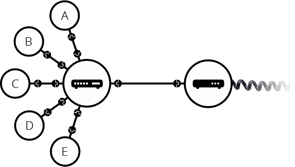
為了解決這個問題,網路上的每臺計算機都連線到一個稱為路由器的特殊小型計算機。這個路由器只有一個任務:就像火車站的訊號員一樣,它確保從給定計算機發送的訊息到達正確的目標計算機。要向計算機 B 傳送訊息,計算機 A 必須將訊息傳送到路由器,然後路由器將訊息轉發到計算機 B,並確保訊息不會發送到計算機 C。

在系統中新增路由器後,我們的 10 臺計算機網路只需要 10 條電纜:每臺計算機一個插頭和一個帶有 10 個插頭的路由器。

Ten computers with a router

網路的網路

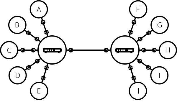
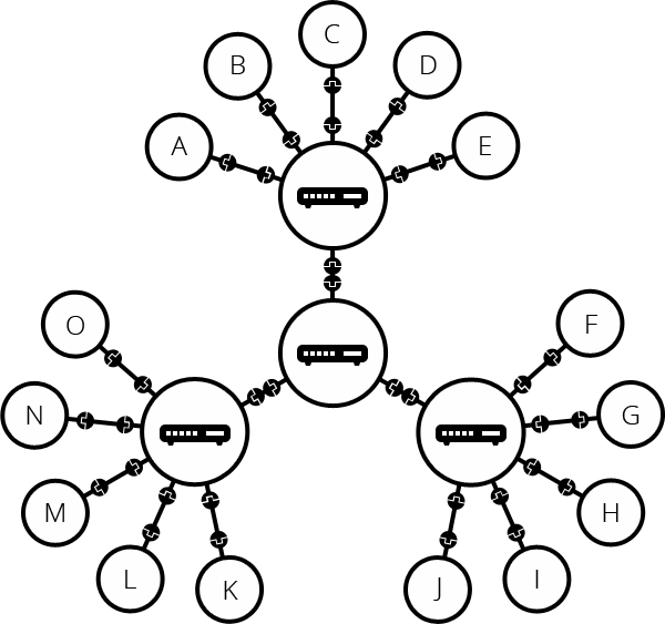
到目前為止一切都很好。但是如何連線數百臺、數千臺、數十億臺計算機呢?當然,單個路由器無法擴充套件到如此規模,但是,如果您仔細閱讀,我們會說路由器與任何其他計算機一樣,那麼是什麼阻止我們將兩個路由器連線在一起呢?沒什麼,所以讓我們這樣做。

Two routers linked together

透過將計算機連線到路由器,然後將路由器連線到路由器,我們可以無限擴充套件。

Routers linked to routers

這樣的網路非常接近我們所說的網際網路,但我們缺少了一些東西。我們出於自身目的構建了該網路。還有其他網路存在:您的朋友、您的鄰居,任何人都可以擁有自己的計算機網路。但是,在您的房屋與世界其他地方之間架設電纜實際上是不可能的,那麼您如何處理這種情況呢?好吧,您的房屋已經連線了電纜,例如電力和電話。電話基礎設施已經將您的房屋與世界上任何地方連線起來,因此它是我們需要的完美線路。要將我們的網路連線到電話基礎設施,我們需要一個稱為調變解調器的特殊裝置。這個調變解調器將我們網路中的資訊轉換為電話基礎設施可以管理的資訊,反之亦然。

A router linked to a modem

因此,我們連線到了電話基礎設施。下一步是將來自我們網路的訊息傳送到我們想要到達的網路。為此,我們將我們的網路連線到網際網路服務提供商 (ISP)。ISP 是一家管理一些特殊路由器的公司,這些路由器全部連線在一起,並且還可以訪問其他 ISP 的路由器。因此,來自我們網路的訊息透過 ISP 網路的網路傳輸到目標網路。網際網路由所有這些網路基礎設施組成。

Full Internet stack

查詢計算機

如果您想向計算機發送訊息,則必須指定哪臺計算機。因此,連線到網路的任何計算機都有一個唯一的地址來標識它,稱為“IP 地址”(其中 IP 代表網際網路協議)。它是一個由一系列用點分隔的四個數字組成的地址,例如:192.0.2.172

這對計算機來說非常完美,但我們人類很難記住這種地址。為了簡化操作,我們可以使用人類可讀的名稱(稱為域名)為 IP 地址建立別名。例如(在撰寫本文時;IP 地址可能會更改)google.com是在 IP 地址142.250.190.78之上使用的域名。因此,使用域名是我們透過網際網路訪問計算機的最簡單方法。

Show how a domain name can alias an IP address

網際網路和 Web

您可能會注意到,當我們使用 Web 瀏覽器瀏覽 Web 時,我們通常使用域名訪問網站。這是否意味著網際網路和 Web 是同一件事?事情並非如此簡單。正如我們所看到的,網際網路是一種技術基礎設施,它允許數十億臺計算機相互連線。在這些計算機中,某些計算機(稱為Web 伺服器)可以傳送 Web 瀏覽器可以理解的訊息。網際網路是一種基礎設施,而Web是在該基礎設施之上構建的服務。值得注意的是,在網際網路之上還構建了許多其他服務,例如電子郵件和IRC

內聯網和外聯網

內聯網是私有網路,僅限於特定組織的成員訪問。它們通常用於為成員提供一個門戶,以便安全地訪問共享資源、協作和通訊。例如,組織的內聯網可能會託管網頁以共享部門或團隊資訊、共享驅動器以管理關鍵文件和檔案、門戶以執行業務管理任務以及協作工具(如 Wiki、討論區和訊息系統)。

外聯網與內聯網非常相似,只是它們會開啟所有或部分私有網路以允許與其他組織共享和協作。它們通常用於安全地與與企業密切合作的客戶和利益相關者共享資訊。通常,它們的功能類似於內聯網提供的功能:資訊和檔案共享、協作工具、討論區等。

內聯網和外聯網都執行在與網際網路相同型別的基礎設施上,並使用相同的協議。因此,授權成員可以從不同的物理位置訪問它們。

Graphical Representation of how Extranet and Intranet work

後續步驟