<menclose>

非標準: 此功能是非標準的,不在標準化軌道上。不要在面向 Web 的生產網站上使用它:它不會對所有使用者都起作用。實現之間也可能存在很大差異,並且行為在將來可能會發生變化。

The <menclose> MathML 元素在其內容周圍渲染一個由 notation 屬性指定的封閉符號。

屬性

此元素的屬性包括 全域性 MathML 屬性.

notation 非標準

應用於子元素的符號列表,用空格分隔。每個符號都像其他符號不存在一樣繪製,因此可能重疊。可能的值為

示例渲染 瀏覽器中的渲染 描述
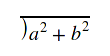
longdiv (預設) longdiv a 2 + b 2 長除符號
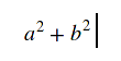
actuarial actuarial a 2 + b 2 精算符號
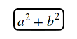
box box a 2 + b 2 box
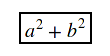
roundedbox roundedbox a 2 + b 2 圓角框
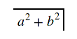
circle circle a 2 + b 2 circle
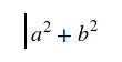
left left a 2 + b 2 內容左側的線
right right a 2 + b 2 內容右側的線
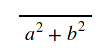
top top a 2 + b 2 內容上方的線
bottom bottom a 2 + b 2 內容下方的線
updiagonalstrike updiagonalstrike a 2 + b 2 從左下角到右上角穿過內容的刪除線
downdiagonalstrike downdiagonalstrike a 2 + b 2 從左上角到右下角穿過內容的刪除線
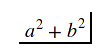
verticalstrike verticalstrike a 2 + b 2 穿過內容的垂直刪除線
horizontalstrike horizontalstrike a 2 + b 2 穿過內容的水平刪除線
madruwb madruwb a 2 + b 2 阿拉伯階乘符號
updiagonalarrow Arrow pointing up and to the right. a 2 + b 2 對角線箭頭
phasorangle Screenshot of the phasorangle notation a 2 + b 2 相量角

示例

html
<math display="block">
  <menclose notation="circle box">
    <mi>x</mi>
    <mo>+</mo>
    <mi>y</mi>
  </menclose>
</math>

規範

<menclose> 元素未在任何瀏覽器面向的規範中定義,但您可以在 MathML 4 中找到描述。

瀏覽器相容性

BCD 表格僅在瀏覽器中載入